НийгэмХураангуй мэдээ
Дархан-Уул: Шинээр баригдаж байгаа орон сууцны м2-ын дундаж үнэ 3,500,000-4,500,000 байна

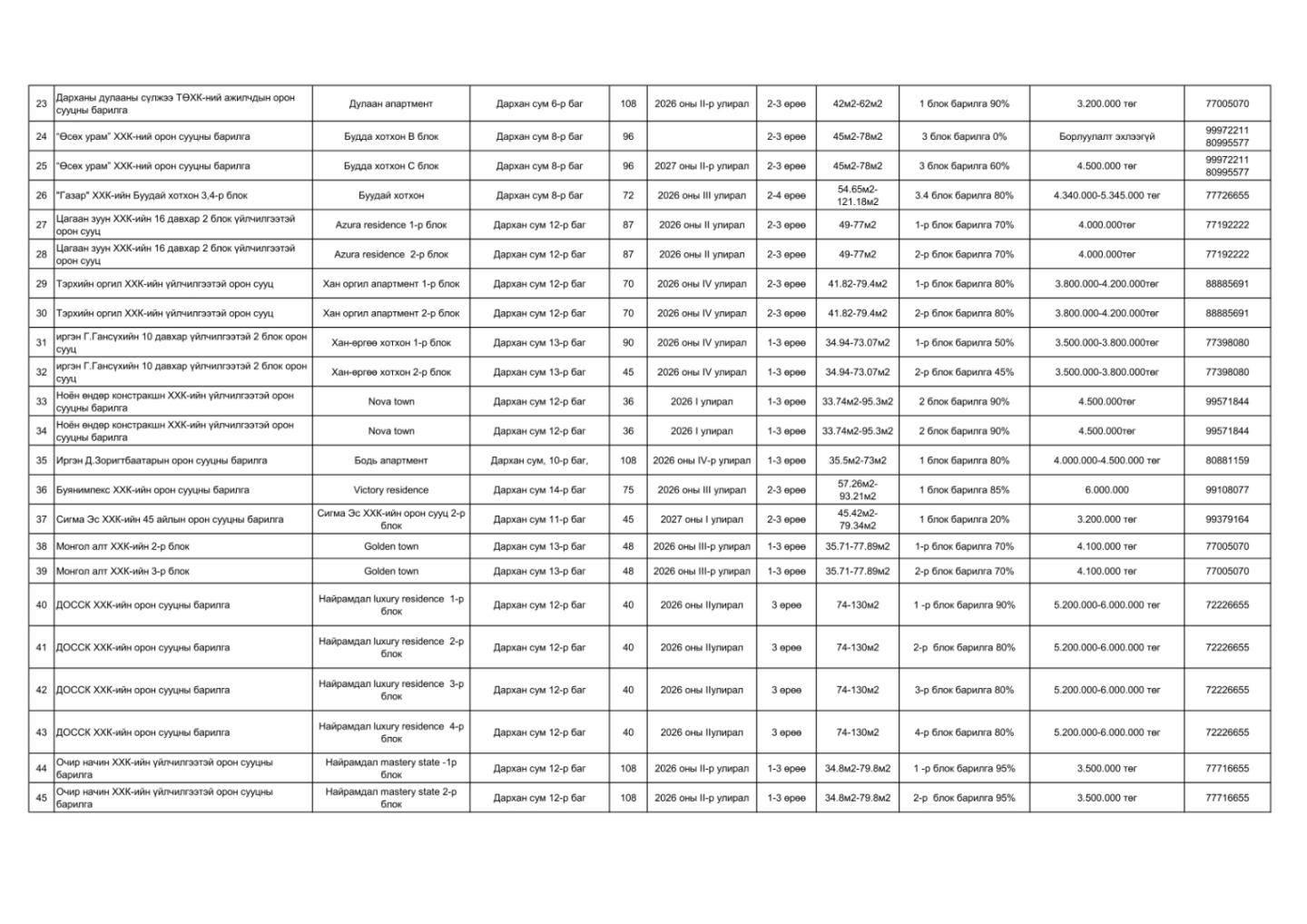
Дархан-Уул аймагт 2026 оны I улирлын байдлаар 39 байршилд 4886 айлын орон сууцны барилга баригдаж байна. Шинээр баригдаж байгаа орон сууцны 1м2-ийн хамгийн бага үнэ 3.000.000 байгаа бөгөөд дундаж үнэ 3.500.000-4.500.000 төгрөгний хооронд борлуулагдаж байна. 2025 онд 19 байршилд 1317 айлын орон сууцны барилга ашиглалтад орсон талаар аймгийн Газрын харилцаа, барилга хот байгуулалтын газраас мэдээллээ







